Aclu v Dod Doj Questionnaire Regarding Detainees 00000700
Download original document:

Document text

Document text
This text is machine-read, and may contain errors. Check the original document to verify accuracy.
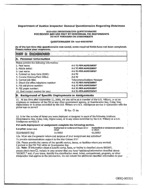
Department 'of J'-I~tic,e Inspector General'Ques,ti,onnaire Re9.<;lr,dlng Detain:ees
D,OJ-()lG INVESTIGATIVE QUESTIONNAIRE
FO,~R:EVIEW'~'WN~~F~~~:~Ig~J':~U~LI~~~:ESPONDENTS
QUESTIONNAIRE 10: test;.OO,000700'
J\s,oJ1:he ICisttime thjs q~~tionnpire,wa~ sa,!~di ~ome re:quire,d fields;hav,f3 m,lt, ~e~n c9mpleted.
Pleas~,reviewyour responses.
~:n=·
I
Pleaseprovide:th,e followih~ informatiori:
1. Fir,5t hame~
2.. Midcjlejnitlal:
3: Last name:
4., Entered btl Goty' Date (EOD'):
S~ tLHlenf Dtvislo.nlField Office:
6. p.\rr~t1t job ,title:
;;; Direct:dial office,telephone nurriber:
8., .FBI 'c~1I phone' numtier:
:9, f~ip,ager \lumber:
,
10. Besr contact 'lumber foryoll~'
6 &,7CPERA~REEMEN;r
68. 7CPERAGREEMENT
6 '& 'lePER AGREEMENT
6, 8{'7C
~ &,7e
Tel~ommuflic~fji9ns ,Manager
6 &Zc,PERAGREEMENT
f? ~.7C PER,AGREEMENt
6~rC,PERAGREEMENT
6 &7,C PER AGREEMENT:
B. Background of S'pecific De'ployments ~rAsslgnntents
any time aft,ef',Seplember H( 2001, didy0U set\le~~~ a memoer oytlie u.s,. Military f or as an
employee.or contractor of theFBr.orany othergpvernment agency" at Guantanamo Bay;, :Ci.lba;, 'Iraq;
Afg~9nlstan; 'or in areCJs'COntroll~ py the~.Ej:. f';filitaJY Qra l;J.S. in~~lIigeD!=e,s~rv!~,e in Wnt1eetjon'wit~ ~he
gl9pal WqfOn lerro''r'r
'
11. At
@·yes
0
No
12,. Enter the number of time.s you: wer-e"d eplQy€d on~ssig n'ed to,each' of th'eJoilowing 10:caUoris.
:(Gi.Jantanamo Bay~Cuba;; lrai'l,;,AfghclTIistao;or inaoy a:reas controlled by the. U.s. Military or: a u.s.
jntell!gen<::~
seri(ce}:3:
For,each deployment or assignment .complete the followrng section.
location rselect one'
",'
f
"UM
, ,,,.
~,,,', " " . "",~,,. " , " " , ,
~
'Dep,l,oymf:!,nt Q,r'a~signlJien~'~~g!ln'!;i(~r
abo.ut
[jep'~Yrii~l1tpra,ssign)j1ent ~n,ded o~'
oraboJlt
".".,;
11/2002
01/2:003
i~~. W6a't VIas ,tl1e;~eD,~fcll natt,.Jr~ ;:lnp P:l,ttp·q~e. qfYQu(aSSi9nJnent an~ :a~ivi,ties?
To provideco,fnmuhicatiQI1ssuPport to the War' Crimes; JTIF
12b. Please provide, the names of the specific,camps, bases, or fgcilities where you worked.
TYVQrkeQ in t,h,~ F(?t TOCw~iI!=at Qoantqnamq BClY
. ,
.,
. ' '" '
12c. N9l¢: If infQrm6'tiph:cipout a ;sp:ecificcamp", base" or'fac:i1itY' is c1as'sified ;ab9v~ SECRET,
plt::~a;5El'.chetk.her.~ Dr in.c1ud.ie in your ansWer that YO!,!' hav.e,lladditiOnal information t1a~sifi¢d aJ~9ve
'SECRET,'!' and, if y.OU knOw, id,entify'the,dassifrcation:lev:el, ticket, ;compaitmenti program,or.other
designation that,applies; to t~e tnformation. Do not include the,·add ltlonal classified InformatIon In :your
;GUant<':lIia'rh6
Bay,
':,
.,~
,"",' ,
~
,
,~',
"
~
",,;
OIGQ-005331
QI.l~stionn~ire Je:sponses..
bIG persoonel-wWl the
neC~ry c1e.arance
N,am'e
wifl contact yo'u to
re~iVe i~,
Posi.tion
Doug Perdue
:12;.-Old YQ;
A-A'SAC
j~ln-tiYir\~~i;'; ~t i~ie~td~~l~ -~nY d~~i~;~it-ll~l1-Q~:-{aI ~f;;_hiieii
" J '
.
~
Ofu
--- - --- --- - - -. -- -';
0~
~
~~
Il
~
.:12f. Did you Joilltly plan-prty .detainee interview ,or ihter"rodation strategy" 6bjectiyeS, or tactics with non- :.
"IFBI personnel?
I
C~
:
~~
~
i12g~W~r~'YQ4 eyer~o~herWJ$~ rnyolv~ in ~it~(n~e inie,,;~~.w~:9i interr.og~£i9ns-Wlih- ~o~:F.BI-~r$Onnili -::
~
Yes
0 liIo
.
::
.- -- -- _.- - -- -- --- --- -- - -- - - _.- - -0--"'-'
---- _..:- -"--- - -- --- - -- - - - - -_.- - -- - - --- -.'
--
· cat'IO" ( I )
Lo , .
se ect,one
Deployment"or Q"i.~nm~ntbeg.-n on,or'
abo,ut
r§J~~~,taili
09f"1.002
--
'Deployment or'o"ignment udell on
or about
~
'
f1/.2(102
.12a. What was the general'natu"re ahd purpose of your'asSignment and ·activities?·
J.p Pfov)de cQmml:lnk;::atlon::; sQR~rtto.,~h.e Le~ql?rshlp rarge:~Jr!g :If:eJl,. lJP-"-.1,M
12J:r., PJ$s¢'p.ttSVid~'ih~:.oarn¢S Qf-the~sp'edrl9~camp:s, bqses, 9r fuciliti¢s ""here yop V{9tke~.
Bagram l\ir BaSe; us ,Emba:s~y K:abul; us.· EmbasSy; ahex tit the<Adreonia Hbtel r 'Kabul;. Kabul Airpor:l:,
NATO: HQ.·Kablil: l-was'the Senior FBI rep in country( but my',dUties·wflEm~·limi{eo to corfimunieations,
f~f: N9~: If In{ormat.lol) ab0.l,IJ ~,specl!rc ~a11JP,~a,sei OJ faCJ1itykda~!fl.ed .C!.bove ?E.~R6Ti
please.check. here,D, include: in your answer that you have "additional information:classified'abol(e
"$E'QRET,'b and, if V,oU Knctw t ldelitif,y ttre,das;siffcatlon revet. ticket, .roniRar:trrf~lit, prOcjr.ahi, or o.tnef
designatiO!') that.:applies. to me'irifprmatiort DP flat Incluae the:atlditiohal tlassified information' i!') ·y.ou(
questionnaire [esponses. DIG personnel with the necessary:clearance will contact.you ·to re:e:e:ive it.
.
:. I
.~-------~----------------~-~-------------------------------~---------
·;J~~'!~~ld;~~itrh.~'~ ~.~~~ ~~<t ~sltlo~_a!j~t:. !!ii1~,,_~~ f~~ e.'t:.~n_n~~ t5'_~~thi t~uA.i~I'l E~.?~~f
~.~rl®..tb,,-[j! ~~~12y'njEJ.Qt~br!i§$}g,ti!t!E;!l!~
I
Name
i12~:
1-.
..
PositiQh
i!.~_.
ok;! yo"r]Qlndy, In.te.l':\!le.w orimermgate-anv dl::ta[h'e:~ With
O~.
I
0~
'
-- --- -- -- ---- -- ----
non~F!ll P'ersonnet?
.
b6
b7C
I,
:
~-----------------------------~----------~------------ -----~----------j
{12f, Did :tell jointlY plan,:any..d'etaihee iritervlew'or iriferrp'gatiblt strategy!
;FBI personnel?
obj~iv"eS"
or tact.ics Wjth noh-
J
' ;
i __,,:, __ .__ ._.
0'
'0
'!-.~,_~ •. __ ~'. __ ,~
.__.;,
;.~e?
.;._.~~?
~,
~'_""'_'''.''
~ ~~
_!I
~J2g.f Wli'!re"Y0!:l ~er 0ttr,~M:I~ l.nvglved. fn .Q~a1~'lnte,lVlew~·9rlnterrggatl.oJ:l$ w.lt.h 119(l-fB~ pl;r..soflne:l?· "
__.__
':...
.__ ~Q_~€t~
.
-,_~._,,!o::.
__ ._ .. _'
,~I
:Afgilni';t'gi
f~. What was t~e ge.n~r,al na~ure
I1"2b., PI~se,pJoVide.tne
.
~
::
ab~u~'
Deployment: or IISsignment begun on 61'
DeplOvment" or'a99ignml!llite"J~d,on
orliibo.ut,'
94/2002
06/2Q02
G!nd purpos~o'ryour i;'I~ignmeo.t ~nc:! ,~ctivities?
names 6fth.e.speclficcanip~,
B~ram,Air Base;. US 'Embassy
_ __ ,..
I
baseS/ or racilitie~ wh'ef€i;Ypu<w,o"r\(ed,
Kabul;.uS. Embassy.a'nex' at the'Adr.eonia Hdte'r Kabul} Kabul·Airport,
NATO HQ Kabul. My _quties where limited to' communk:ations.
t;z~, N-oi:~: 'IF liJfor{Tl~!lp.n ~q:b~' ~ :sp~lti~,t;arj,p.; base; odacility is.cl'i!s~~d pQ"c;).v~ Sj:c:RET,
h6
b7C
OIGQ-005332
pl.ea~· check ~ere
0, lnclude In your answer that you
hav~ '''addltlonallnform~tlon 'ctassified above
"SECRET,'" a-M, if you know,. identify the classification leyel, ticket, .compartment, program, ..or other
desig'natiol) that.applies t6 the information. D0 riot .include the additional classified information in your
questionnaire. responses. OIG personnel with the.: necessary 'clearance will contact you to receive. It.
)-i
"
·,E~i·:p~a~.~~~~&~.~i ~~~~~~i ~~ltlo~=a!}~~~~~~t}1~ f~~ e~~n=~I 0=~~o~ Y~u=.~!E~I.Y !~~£t§~
~~:!.rlfltY~E E~E.12y'~~hJ:9.!:~~sl9..rtril~ri!.~
l:am
L ~
p
.
.__._~
~~~~::,
-- _~. __
. --._.-__ -_--
::~2e. Did yOI1 to,InW ir'ltenti~w 0)" jm~rrogate Elny 9.etaln~~ w[~h no.n:'FBI p:ersonnei7
:i
dYes
...
.@ No
b6
b7C
.:-
. .
I
~----------------------------~-----------------------------~----------!
:12f. Did you jdintly" plan. any detainee ihterview..o r fnterro9,cftion strategy, 6bjeeti>!esr. or·tactlGs .wlth 110n- •
:FBI personnel?
:0 Yes
:b No
.'.
': W.lth wi"~tkltid;:~f rt6~':FBI 'p~~,s;h:riel d.ld :Y:PU Wb~k jQi~tIY:? _. ~." -_
- _ ---.,
'~ 0:ClTF
~ 0 Other,u.S: Military
..
.; 0' U::S·... ,i!ltellige~,~~. 9g~!1~
; ~ fQr~igr:l'm1nt.C)ry or i,ntel!lgE;},n~~.i;l,g,e!1q'Y.
~ 0 'Other'
: _._-.: _ == "=.:.:::':: =- -:.=:....: .:..~ ~ _:..:.: ::..~.:._..;. _..:. 2:- __ ._..:._._.-..:.:... _.':'" __ .
: ~ ~.::...: _.:.
.12g. We're YQU ev~r 9th~rWi~e in\(olveg iii :detain~~:i.nt~r'vlew's~r' iilterrqgqtion's with hplJ-FB,I per:spfin~jj?
~ .
0 Yes
@ Ne·
.
;;.-_ .=:.;-=. -=-_ ~ ~ =- _ ~
.i;;,.- - - - -
- - - -
-'1.- -
-'- __
'!_
.'
A_ -'- --'-'- --'-,- _._'.-~.- - -'-- - - - - - -- _ . . . -'!.>-'-'- - -:----,:,..-- -..'~- --,_ . . . - - - - - -
A. TriJining Prior: tp
•
py.ersea~ DeplQymen~orA~signment
13. Did'you receive amltrainfngJ :instruction, 'or 'gtHdance 'specifically in preparation' for. any ,of y0ur
.overseas.d·eployments or-assIgnments?'
(!)No
14. In: preparation fot any. of .y:blir .overseas deployments ,or Bssig.r:liil(~rit5r,.did. 'tau reeeive:ariy training,
ihstruCtiori,'orJfuidance .concerning the stafleards of conducfapjJlfcaole to'the-tfeatmerit,.
interview r or inter.~ogatiGn.of derctinees !?v FB,~ personnelT
.
.
o:y~s
15. In. preparation fat any .-of'your overseas deployments'or assighi'nentsr'did yoi.r receiveiiny' training,
instruction/ or:.gu idance concern ing the sta ndard g. of 'cond uct"a.pp licable to ·the,treatment-,.
.
OIGQ-005333
intervi~w,or in.te~rogatjon
of ~etainees by
l)o~,.FBI per~onn~l?
'0No
ODo Not-Recall
Hi, In; preparafion for any'ofyour overseas deployments ,or assignments, did y.oU, receive:any training,
Instruction, (iW'guldance c:::oncemlng what you were supposed to do' If you :observed :or heard about
intervieW; or ill~errog'afi<m bf deta:ine~ by FBI: personnel, whi~h.YQ(l believed tQ
b:e il1ajrWQpriateJ unptofess!on.aiJ, ¢perdv!'!~ afjt(.~lve, orlmlaWful?
the'tr~atlT}~nt,
17, In prepa,ra~lql") fqr ~'1Y ,of :YQur oversea~ 9.epIQym.~.ts 'W assJgnrn~nts." dId Y.9U rec~lve.any. tr:aJ.n!ng,
instruction, p'r .g.uidance col:1~emiljg what 'Y.QU w~re.;;,uppo~ed .to d.t:>. ifv9U obs:er\led or hear.q j;lbQuJ
'th~ t~atmeht~ IntervieW". or Interr69'atlbn of d,etainees ~y nori~FBI t"~rsorir:i~!r, wHich you beiieved,
to"b'e, iri'approjjriate:1, ~hprDfe'ssiorial! co,erGiYe r :abusive, or uiilaWful?.
ayes
:000 Nat'Recali
0Nb
B., Training During' ,Overs~as Deployments
'Qr:,Assignments
.
,
,
, ,18, DlJr.ing ahY'Qfy6ur,overseas'.deph.'.lYril~rits or' as.sig'nmentsl. .did you receiy.e any tra'ining, jriSthl'c:::tioJi~,
6r:gLiiaah~e,eoncer'riin9 ttie':st'a'ndards of:conduo: applfGafile to: tHe'treatment) 'ihleiview;,br
.
interrogatjon 9f detaln,ee!?, ~y FBI pe,rsonpe!?
f9', Durin'£! ariyofy,dui':e.v.erseaS-:Cle-plbyments or assignments., .did you
'i't~cejy.e 'any,training:r instruction,.
or'guidan<,:e,c0neerning the ,standards of (mnduct applicable to'the,treatment~ ihtervie~(~0r
i,lJten:-Qga~jon 'qf 9e!:~i,lle~?.bY nO,I"!.F~1 p,e,~!1!1'~I?'
your.
~20:. Dirrin'g any:Of
av,e'r.seas'deplbymeots or assig nment5~ did you 'receive 'any' -fraiDing, instruction..
org.uidan~~'c(mcetn.il')g whClLyou, \('I.ere'suppo~ed ,t<? ito if Y,O\H;jps.~rv~d or:'l)~.r~'?lboutrthe
veatm~nt, Intervl~W, ;or In~errqga,tlor:rQf deic)llT~'e~ by FBI' per-.sonn~l" ~hich y-q'!-J' ~~lieYed):o ,Qe
iha'pprdpriate, unpf0fes:siQnal, cb#cbier, abu'sivei, 'or unlaWfu'1?
0Do Not Rea,all
'21, ~!Jrlng,any of~ollr-qv,er.sea~;':d,e,ploYments'l;?r qs.signmerits, d,id Y9,Q r~~ei.ve qny'~rain.iJ1g) instructipnr'
,or 'g uI<lanc¢ C'(:internJng ,WI'\at yblJ welle. su PP'Qsed t9 dolt :9~U 9b.~rv¢'~ t!r he~m~ ab'Poqhe
. treatment, inter'view~ or' h'iterr'dgatibn of.de1:air'rees by no.n-FBI 'personnel r which you believ.ed to
be inappro,l?riate! UnprofeSsi6nal~ coercivet'abiJsiller or:.unlaWful?
'
'.byes
Ie, Atieq uat:i,Y qf Tr.aining
, ,0Do Not Recall
OIGQ-005334
22.In your opinion, did you receive adequate training, instruction, or-guidance relating to'standards
of <;;anduct by FBI and non.-FBI per~nnel relating to treatment, intervlewr or l,nterrog;3tlon of
.detainees prior to your .deployment or assigpment?
,"
..........
~
-,/'
- ' £.
-0
¥... ' -
0
Yes
No
__
..
«_
4
....
•
._
..>
_
~
_
'_'".
_
....
_
,
_
• •'.,
.22~1. Please describethe ways. in which Vou b.elieve the trainin.9~ insttucti6n·or.guid~lt1c::ewas
. inadequate:
.
_" • ' "' .,.... c.. . _. ._. _. __ " ..
:..N.0),~if!in.9.·~_a~·'p-.ro~!~e9::..' ~ . . •... ~
>•• _
• • • __
23:1n your'0pinion,.d id' you rece)ve adetju<;ltt;: trainingr inS!:l1Jcti0.n"or.guiP:ance relati"19''\;o ~~ndards
'Qf c;gnduq: py FBI .and. J:1o,n-FJ;fi per~onl).el r~[atin9 tq tre:almel'Jt, rntervi~w; '9r i.n~er~~)'g?tion of
:d e.t~lnees,;dlJrin-9 yo.ur deplbyme:mtdr .as,sig nm'!=n:t?
"
"'"
•
,.
n
,..
"
,
,...
,,'"
'I'
,.....
_
~.Y"
~
..
.u
'.
..
..
..
..-
__
•
V'
,
.
L:~a. Pfease.descrlbe,the.ways~ln-whlch YQU believe the tralnin.9r Instruction or'.9uidance was
inadequ_gt~:
.
. .
' .
. ~O t@lnll1g·wa~p.roYidetl.
--------~----------------~-----_._--------_.
24..In YQU( -9plnIQI!, 'Jild, yqu
__
r~elve :aQ~guC!~e tl1afnlng'j In~~ru~lon,. or:gu.ld:anfe C9JW~[I1lng whi=lt yo\.!..
w¢r~$.up~bS~ to dCi if;'YJjll.~bserv~ pI'
heprd ElQolJtthe tt~atm~J1.tf jnter\tlew., (wihterrogati.er'i of
:detainees, bS(FBI :6r non-FBI.persQMel, toat v,ou o.eli~v.ed
:coerciv.er. abusive, .or unlawful'?
'O'Yes
~
...., -" ': -
..... - ....... -
-
,.,. -
-
-
- ,-
~
._--~---------~---_._-------~
........... "'f -
-
~
-
-
•• -
.. "
Z4a. F!lea'se,'desc,rib'e the, ways 'iti W,l1i~h -you
iriailequafe:
_NP.~~I.~i!'9w.?~·P!oy:l.d_e9:.__ ~ ._ .. , ~"
was ii'iapprbpriate~
uoptpfessibnal,.
.
0 No
.",' .... - ' .. :- -
..... ';"
•• -
...
~
_
... -
-
............. ,.. -
"."" ..... -.'
~
.- .......-.
. _ .•"") -.,---... \
I:t~liev.e th~ trairling, insJnj~tiQn6nj!Jid~tltew:a's
_. _
__ ..
,- _ ..
.. ,,_
,. ,
_ .. , _
__
.
2.5:. '(OptiQn<;t!).In wna): ways Gab tt'Je fBI itil prove: trafning: mi·this .siJbj,ect fbr .futui~ depl<;>ViiJents or.
'ass'ig'nfuents?
My deployments -where early 'into: the War en Terror .and I believ.ethat training is now being .conducted.
10" .Comments·
2~, P.J~$e.l~ r~Vide :any .~d~'!~I(ma Iinformatlbn c:on~~rnj ng. tfa in iiig', t(lr ·.Qv~t.$ea's 'd,ep foy.rrren.ts pr'
.
assig'nmeritS of FBI j:J"ersohiiel 'You b.eliev.e is relevant.
•
.. - ."'
P"tovide
fir.earms traihing l:O.sutiport .,$.
perSonel iNh6,deployinto
War2ohes.'
......
-.
.-' .__..
. .
•
. '·
·.J.~·;~r1lTh~~~~~
~..
D'~
~
,~.
~'e ""'~~J~j"O
',:'
"'-.' e_ _~,.,·.:,·~~~~:·
••• . . . . . .
'.-'
"
.•.•••
,"
'.
Introduclh>h to Part III: Tn. this· section, we ar'~ 'seeKing infD,miation ;regarding' a wide range of
interview''Q[ interrogation·tec::hniques and other types of detainee:treatment alleged to have occurred.
Wf;; are,a~kin'g abQ~t a p:qrti~.ljlar techniQ4e pr prac;ti~~, that. we 'hi;lV~,
~bn~ILJP~ tha~ I~ if" fgC,t,b!;.tlJrr~~. We recqgnlze that S9m~ of the~e .te<;htliqu~s·-otpr.c(~I~es: may.. at .tlmes
be nec;ess'atY for .safetY and security in deteritio.n .settihg·.. In add ition~We rec;ognize that .some. ofthese
"felI ShdJ.:lld n.9t a·s~urTie.T. j!-!st",t>~au~~
:a
OIGQ-005335
techniques:qr pr~ctices may ,hav~ be~n authQrized fQru~e by military orother government personnel.
With Ie.sped to, 'each iden!ificif te.tbnique{ practice, Qr typ.e Of C,QOcLuct:.des,ctibed be[owf , lils::. -are seeking
in ,connection with the intervieW or interrogation of a.
infonnation ·.about its oc:c'uhenc:e dIking
detainee beyond what is needed for safety and security.
.detainee;. :or during, the'detention
In th<,ltcQntexl" we' will Clsk YQ!J t9 tell U!} wh~lh~r one or mqr!,! of the following 'statements 'are true:
or
ora
~.
r. ~tSQnally' OR$erVeJi '~his con.duct.
.2: Iobser:Ved detalnee(s) In a condItion that led me to believe that this. conduct had occurred.
3. Detainee{s} told methatthiscomluct'had occurred ..
4., Others'who Observed 'this conduct.descrlbed it to'me;
~, I haye rdevcint lofO'r(n~tiQIi·cl~?:5.ifr~d ~bQve:":sECR,EtJ!.
.
'&, r :n~Ver :observed thi,s ~6nQl,Je;t; nor ,h~ard ;abolJt II;' Hom ,sqrnecine whp cUd.
'2.7, Depriving a deta'inee' of foc;>d or wat~r
jI. [j I' p~er.sQna\l5' Q'pserved this cQn~ua:,
b.. 0
I'QPsetved pet-~Hn.ee~~} in 9;cqncJitiQn"th~t led me,.t9 b~H~ve. ~h~,nhi:& cojid.uq: h~fd oq:u(Te.d.
0 DEitainge(s).t,old me.that thiStonq:lIt.t had oC~urF~.
if, 0 otherS whq .ohsery,~d thiS c.cnB Li.ct des.<;::rihed ino me:
e. 0 I have rele.v,al'it information classified abo)Je '~SECRET".
'c;
f.
0
I:hever obS:erv.ed this conauet nor heard abbut it
from s6meone.~vho
did.
28. Depriving·a detainee of clothing
a; 0 I p!=(?Qnalry q~seNeq
!Q.
0
thI~ to:n~uc~.
[ 96s~'tVed d,etqllie,e,(s) in CI ,c~nd'ftiQh that I~ me tb. believe t.na.t:t!ilscOfi~duq; hap qtcurred.
betainee(s) told me that ~his: Cl;>li'q,uct fta:dQ.cc!,lrr~.
d. 0 Others' Who :Obsel'V~ :this co.nd,Uct described Itta me',.
e. 0 r ha\lI:~ releY£ilit inform'ation: dassifieda'bov.e i'SECRET";.
f. 0 I neve'r ol:fsetVed, this !canauct Mt'lleafd ab.out it froril·.5Qril,epnewno did.
k
0
29. Deerlvlng a:detalnee of,sleepror Interrupting sleep bX frequent.cell relocatlons:or'otber methods
0 r personal~Y'ob~rved tnlscon.duct.
0 ~ gp~.rved delalne~(s;), in aco.n9itiPn th~t.I§d m~.t9 beli.~'(~ th~i thiS cpl)qp~,h~:d
t: 0 Detal nee:(s~}
told me .tbaUhls: j::'ond u~.t. had '.oc'cu rred:
...
..
--
a',
.b,
.oc;:~utred.
,
OIGQ-005336
,
'
d. I~f Others who observed .thls conduct described it to me.
e.
f.
g.
0
D
I· have relevant information classified above '\SECRET".
~'n,~ver·q~s~rv~d this'conduc~ ns>r heard about- it from someon.~'w!l9 did.
Ple9s~ prqvi~e
the .approxima~e: time friilrpe dur!ng whiGh this'o;>nd)Jct ,qccurr~.
Fr:qm Pit-/lbjiQQ;2 ;t9, lQ/Olj2092
Do'o No.t Retail
h. Th~ d~.ti;lll1~e(§J ~re.C),t~ In thIs w~y wen~ (Q!:~t~:?lt th~ ~hl:le.lrp
1 0 Guan~an9!110
2: CI Iraq
3 ill Afghanistan
'4 0 Other Location
5 0 Do Not Recall
· i. P.lease:identlfy,the:detaili.ee'ts) by name arid. nluTiber:
· I 'Was the communications. support element ,for the' ~eadershrp Tar:getlng 'Cell at Bag ram Air Base
and re<;eiV~ a PJI?QI1 Qri~f.ing, eqc~ 'dj=!y. :Sl~ep, qel?rivatio~l was',?' cOlTlfTIon pra~tjce Wit~. High Vpll1~
'T~~ge~S'; Th~ milltary~Ra]~ thi:lt. the pJispner Olq g~~~ .ho~r~ of.!?leep a ~qY:1 j,u,&.t nQt,dll.ln 'c:>J1B; sho,t.
j. Please: iClehtify. tile peroon(s},wM.treateCl the. detainee(s) in this manner, induding their
name(s)' andgovernment.agenC;Y(ies):
US: AlTDyran the pri!ion ·.at Bag r9m.~ u'r[ng tl'l,i,s, til)Je·fram,ej ~ ~9 not recpJI ~tle. 6ffi~~r~ narr,re§\
·k. Please, idenfify.any~otherFBI personnel or non-FBI personnel who'ebserved detainee~s) treated
i.n t.his· r:nanneri flicjlJdirig th~ir nalTl~{s) dnd .q'g~noy(i¢$):
,h Th'is',C9ndJ.tct 'oc~Ufr:ed in- q~rin·~Gtjon with:
i 9 'One: dehqlhee
2 '.0 :S,¢Verar tl~.tain~·~' .ci-4)
3,0 Many 'detaine~s (ri,.~r:~ than 4}.
'40 Do..Not Recall
,30.. Beating a detainee
D !I ~rspn'~lIy o.D.~rYe,ci: ~hls.tqh.d\li=-t.
0 ~:(j.p.~etYe~ d~tatrie~.(s).ln ·a:cp.ndi1;jQn-'t,hat I~ in~ to. b~lle'l~
c. D Detajne~ts) to]t1 'rile tna1 thf$ eoi:id~'ct ha.d :oq;ufr~.
ti. D Qtti,erS who 6b'servep this r;:dndLiCt d~stribed it to, m!=,
e. 0 I. hav.e ,relevant ijlfon:Tiation classified zlioVe. ".sECRET".
p.
Q;
".
tha_n!ii~ C:;9ri:c!~ct hado'tCiirr~.
."
...
OIGQ-005337
[llt:f 11 never observed this conduct nor heard about it from someone who did,
31. Uslng
I
Welter fo prev.ent breathing I;>y a ,c:!etajn~ or t9 create the sen~tloll ~f dr9Wnit1g
.a. D I. per.sonal~y observed this·,COliiJUd.
I bbs~lY~d .. detain~e(sJ ih a Cbhd'itionth!=it led me to 6eli~ve that this con.duct
e.
D
D
D
D
f:
Ii!
Inever.observed this:conduct nor:heard abQut it from someone. who did.
b.
c.
d.
!
ha,d oc~ur(ed,
Detainge.(s)'told me that thlscohdLlct had·occurred.
Otbers' who obseiired this ctinduct d'eseribed it to hie.
I have re!e),lant information "dassified aboVe ":SECREf"·,
:
32. Using hands, rope, 'or'anything else to ,choke or stra.ngJe a detainee
;:1'.
0 i· p~erS;Ofl~.IIy.'·observ~~
~his,:cQnd,uq.
.b, D l' obse:r:v..e(Laetain~¢($),in:a '.c6iiditidri that led h1~ to believe that this c6ridvct had pccurred..
c; D Deti:iinee(s) told me that ~his conduct had ,occurred.
d,
,e.
f.
n
others' Wh:o .obserVed this c.ond'uct descr.lbe(l It to me.
0 r hav.e relelZant: iDformatiQn- Glassifjed aboye "SECRET".
0 ~ never obsel'\led; thiS 'C0Jid uet nor heard 'about it from',someone 'who did.
:
:
3$. Threatel')il')g 9ther actlo[l to'cause ptlYsi~1 p~lnT fnjury-rdfsfj'gurem~nt, or.deatb
,~t p~r.s9r'ialiY··Q:l:fseNe~ ~his~on(fuCt.
h.1 D Ir bb:senred detainee.(S) In'a cond itldn that led me to In:~L1eY.e.that~ thiS' ~ondu~t had oC¢llned.
c. D [Detairiee(s) toid me that this c.ondUct ha'd :O.cturr:ecf.
d. D Others' who observed :this conauct desd'ioea it to me.
e. D I ha'Ve (eleva'nt Information classified ab.o'-le '~SECREf"·.
f,__J._...
It]' I neVer' observed this·conduct ilor:hear'd -about it from somebilewh6 did.
__
...
",,"' . ........- - ..
.......... .........,.,..,_ .,--............. _....-.., ....... ., _____ .......-__ " ..... "n,..-.-. ... ..
... "'.. ,,; ...,
,_~
~_..,."........,.~'
~"""'
~~,---"
·34 .. Othertreatmer~' qr ~ctlt?n. q3usfilg, 5ig~!rj~nt p~yslcal paio 9r
:deqth
~---..
v',. .......,.. , .....
~
.. _
"''''
'.
:
:
..'_."".......... " .................
injury, or ca.usi~g disfigureme~t·or
OIGQ-005338
._.
0 t personaIlY'_Qb~lI(ed thi:; "GqnAu~t.
0 robserved deti3ine~(s) in a c()nd,i1;.i9n that ledrJ1~ to ~~liev~ tl1at tbis <;:on:du,c,t had c;>c<,;urreq.
C:. 0 DetCilinee'(S) tol{:lm~ that thl~ l;'ondu,«:t h~d occurrE:!:!.
g. 0 ptbers' wh9 -9bs~tyed 't,hi~ c:QIleJl,1Gt des_crfb~ I~ to me,
e. 0 rlii3ve releya'nt ittformatioii tIQs'sifie;d ~bov~ ·~SECRET·'.
f: 0" I never Qb,~!=n,,-eq ~hl? ,condUf;t npr h~rQ ab9l,1,t it 'from son:i~b.ne who 9td.
a.
bt
,
'35. PlaCing
a.
0
..
o
~'
C;:"
g,
,
a detainee'on a hot:su'rfuce or burning a detainee
,I, person,al!y obseJ:'Vec;l thi,~;cond~ct.
I 'o,I?'~ervet:!,r;i,etain~e:C~).ln ,Cl'<;:9n9 ifiQn 'that 1e9 me, t9 b,efjev~ th~t't.hfs, <;:()nd,lf~t- hqd Q,<:;qjr(~~/',
,0 !E>etaine~(s:) ~old roe t\1'?~ this, q)l}duc,t hpd :qC;;<;:i;lrr~.
o !pthers 1!",hp Qb~ehr~p thi~ l=:q(9)jct'd.es(:r(b~
it t<;r m~"
D r, \1'av:e relev~nt information 'l;:las,sifle:ef ab,~:{e, !ISE,GREY"'.
f. 0 r li\3v~r o~:S,erVed' thi$"cqntlu¢:t nor h$rd :abQl!~,lt frQm',sOri1:Mna who did.
¢:
3'6. Using ,shacldes ,or:o,ther' restraints iii 'a proJ6.nged manner ..
~~
0 r' personafJY' O'bserv~,d
b""
p
c;
d"
e;
"
37'.
~hl~ t;onquct.
~ ob~e.rved detaineels)-1'n.8' cpnd (tien that i!=d .me to believe that 'this, cand u'ct. ~ad 'q~Gurr~~:L
0 Detai ne¢,(g) told rn~ ,th.a,t Jbi$ l':,<;mq lj:c'~ h~9 "O'c§l;I[(~ ~
0 'Others: Who 'ob~el\(E;l'9 \hJ5 CQnd~~t-,d~s~rlbe"d If to m~,
0 r ha\t.~, r~lev~nt ititorma~lo.n: dassified !3 hoye, '~ECREr",
0 .I o~\(~r o-bserye(f thls;:Cpridu~t npt'h~rd ,a Qout it from someone, whO, did..
R~qurrlhg
a ,aetalnee:to nia-Inlaln, or r:estraliJlng
'
,
a detainee, In, ,a ,stressful or pal,nfUl pOSltloA
0 1- p'er50.n~Hy observ~d ~liis c;;qnquct.
b: 0 I?op,seryed detql.nee(s) 111 a 'condJtlorr1h«;jt led me to' b~lJeve;~hat:thls eon,duct hC¥l,,<?cca,rred,
~. 0 pe~aine~(.$) tcM me tnC:lttbfs cOn<luc,t bad -occPT~.eq ..
d.- rEf 'Othel? who 'Q!;>~rve;g'.t~Is tQ'rlgLfc~-d,~s(:Jibe{l it:to me~
....
.
..
. -_....
......
..
.. ...
a~
,
',.
'
--
~
..
••••
.....
•
--
#
OIGQ-005339
I
~,
0 iI have relev.ant Information classified above ·lSECRET".
I
~=+------------------i
f. 0 II never observed this'conduct nor heard aboutJt from someone who' did.
I
e.
g.. P.leas"e prQyide the ~pprQXimatetime 'frame during ""flich this cO'l)dyttoGCurred,
From '(M/D1YYYY format or M[YYYY) t9 (MjD/Y'f.{Y fqrmat <;>r ,MfYYY'{)
-OD.o Not B:ecall
b. The det?linee,(~) lr~ate9 in thIS! Wi;lY were loqlt~'at the time in:
·i.O Guantal1?\mo
2. 0 lra.q
;3 WAfghariis~an
4 0 Other Locatiqn
50 Do Not Recall
i. Pleas~ identify the detainee(s) 'by: name and number.;'
·I.·wasthe cornmuriicatiohs supjiorfelement:forthe:leadership'Targeting Cell at Ba~frtirh,Air Base'
and receiv.e.d ~ prl$Oo:brjeffn,g e,~cl! day., H§lvif1g tl1e.d~tC!in~e'to·~nq o.r?it liYi~h the,det9)~~s
· .I;1~c,:kpD~it1st. tn~ wa'lI fQr i;ll()ng period qltir:ne, yv:a-s,a b~iefed. fl feW time!? iti. re~l.~lrq tQ Bi~!) V9lq~
:'Ta~ge,ts.
'j, 'Please identify- the per<S0n(s) who treated' the deta'lnee(s)' In ,this mannerr Including their
tiClme(sJ'QT,1q gov~rl1mJmt"agenCY(ies):
"
. ,
, ~
.
US;Ar'my'rao~h:e prison a.t BagJ'arTi 'during "this'time fral')1e, I!1o f1pt,r~1I t~e,:Officer~ names.
~, p!.ease i~eutify 'any other FBI p,ers9np~1 or 'np.O;:-FI}rp'ersQn.n~1'Wh\)'QP·~rV~9 ~etainee'(s).treated
in this, m~nnerr incl\Jtli(l"9. ;their name~s) '::1IiO ag~nGY(~~):
>
:i. 'rltls.:coriduct :Qccurred in .C61')I'leetl(jn wki:l:
i-o
cine,d~ta'rrie:'~
20 Sevetal de~airiees. (2-4)
3 0 Many.detainees (more than 4)
4 0 Do Nq,t'Recall .
m. (Optional) 'Please describe the,.relevant.til'eiJrilStahces in more det.ail:
'3$. Fordllg a detainee to p~rfQrlJ1'd~rnanding phys.teal exerdse
.
.
..
lei: o l perSonallY observed this co.ndact.
II bpserve,d d.etaiJiee.(s) In'a 'd>rid ition that. led me to belieVe that this, conduct had ottuiTed~
-·c.b. o
0 [J'etainee(s).tQld metliat tlii~ !:ohduct had 6.ccurred.
.e.
0
0
f.
0
d:
c----
,
,
Others' who .observed this c6hd act oescribed it to me.
I have.refevaht information dassified ab6ve "'SECRET" .
I never observed thfs:conduct nor heard about it from someone who did.
. .
..
-
..
OIGQ-005340
39:. U.sing ele.ctticill sbb,ck.oii a detainee
a,
o 11 personally observed this 'cqnduct.
me to believe that thi:? corrd.u~
b. 0
I observed, det~inee(~) in 'a'cohd if/on that led
c, 0
Detalne'~(s) tol~ m~ that this. conduct hap ,occurred.
q.
e.
bad oGc;urred.
o 1bthers wh'o bbserved this conduct described it to'me,.
o tr h!:l~e relevant llif6rniati~~:cl~s1iified aboVe. IlS~d~"'.
f. lid I' m:!\!er ob~¢rv,~~' ttji$,conduc.t
Iior'h~rq abbl,lJ:itfrpm',sOrn~9ne who ~ld.
4:0:, Threatening' to use:electricalsl'ioclcoil a I1efairjee
a!
b,
~i
0 i perso~aIJy' 0,b~rved thIs 'COlld,qs:t.
0 r,ol;Js~l:'(eq d~t~iineets} io :a:cpnpitiorr-~ht;lt.
t~ 'r]1e to' ~~lieYe thi;l!: t,t:!is o;mquct haq·Ql,!<;:QrreQ.
o !Getp,inee,(s) t91~ ,me that thIs. C.9nduc,t h~~ iOl;:CUr~~.
0
OtMfS' wbP pbsefY~d this ~Qn9 uc.t 'cI~,s¢.rib~~ it t9,ro~
~:
o it' hi;lve relevant il)form~Jjon r;l.assifj~d :a1;J'dY~"\$J:tR;ET"'.
f.
0'
r riev.er'6liserv.ed thi$".co,ntluc.t ii'or h¢a'rd ~bQut it frqro SQrtreqne.. Who 0]<1.
,~',
41. 1ntentlo'riallY dela~in9. ,onlehYlligdetaJnee,metl.lcal care
a,.,
0',
',C'.
q.
e:
f.
0 1. personally' observed this ·conduct.
0 r obs~rve'd det~ipfire.cs) In..a 'Cdn<;!itIQ!1 that led lJ1e,~o believe that ttTls conduct
0 Oeta.inee(s), told m~ ~nc;lt this .colJd~ct hadoq:urred.
0 ~tners whp o.b$erv~ ,toJs CQn~uGt,d,es,cr!Qe9 it ~q me:.
0 ,r have rel~van,t Iljforrna~lon ~IClssifl~ 'above' ·"~ECRET't.
Ii1 t never 6b?erved' ttii?'cond uq: ,nbt h~ r:da bOllJ "it from some~>r1~who: did.
42. H(ioclilig or oJihdfold irig a .de,tainee.6ther than durfn9....t;.:. ra;.:. n· ;.:..'s.£,p-"o;....rt""'at::;.:.io:....n..:.-
~I personally observ.ed
h~d OGC4rr~d:
_
this,conduct.
OIGQ-005341
·
b.
c.
d,
e.
f.
o II observed detalnee(s) In a ,condition that led me to bellev.e that this conduct had occurred.
o !Detainee(s) told me that this conduct had ;occurred.
o lqthers whi;> observed t~is conductdescriQed it to me;
o jI hav~ relevan~ information classified abov~ "SEc;R!=T".
o II n~vero b~rve9 this '<;~>nd~ctnor hear.d:a bo.ut it frol11 son1e<)!le Who d)d.
4::1. Subjecting' a detainee to
I
extr',em~ry: qjltl or hOt room tem ()er:atu res for exteritleq (J'eriods
a.
D'
b"
o II:observed detainee(s) in a'cond ition that led me to' believe that this conduct had :occurred.
I pe~som:illy observed this .conduct.
c: 0 Detainee(s.) told me that this. cond uct nadoccurred.
'Q:
~.
0
0
'f. 0
:4'4.
'a.
b~hers ~h~ 'Obsen(~d t~is cOl}c!ucqle~crib~ it t9 me;
t.l1ay.~.r~I~y'ant InfQrrJ'l.atjon· ~las~irr~c;I.a~o.y~ '~s.~Cf(EI·'"
r n~v~r o~~rve:d thts 'copd uct '1'19r .hea rp ;apc?4J It .from;$Rmeol'1~ wh<;> dId·.
Subjec~ing
.<'}
d~t.air1¢e to
loud tnu~it
o II perso'nally 6~bsetved thi's"co.hduCt.
b.
o jI observed 'defainee(s): in ,a'.cond'itiorl'that 'Ied me to' believe that this conduct- had 'occurred.
a,
o !Detainee(s) told me thatthiS' conduct had :occurred,
e.
o !Glthers. who observed this conduct described it to rna
o II have Jelev,?lnt informati9n c1pssifje~ i;lb()ve' "SEGREf'\
f.
[t!
d.
h I)ev~ropserveq this cond.yet n9r lJ.~rd 'abput; it :f[OfTI ~meol'J~w~o
I
d.id.
-4,5. S'ubje,cting .a detainee, to bright flashing lights:or di;lrkn.e~s
a.
Ib'.
e;
o II persorially oDserVed this eondutt.
o II:observed detainee(s) in ac6nditiori tnat led me to believe that this conduct had ,occurred. I
o IDetainee(s)'f6Tome that this conduct had ,0ccUrted.
O· ~Others who Qbserved .this conduct d'escrlbed it to me.
e. 0, I. helVe 'relevant (nform.?ltion dassifl~Q ,qpove: "·SECRET"'.
!d.
f.
ltr
I· n,ever o.bsE1.rved fhi~ 'C9nduct ,nor heqrd abo,1Jt it froJTI someone whO did.
OIGQ-005342
46. Isolating a detainee for. ~neXtenaed.period
a,
b.
c.
d.
e.
f.
0
0
0
0
0
0
l
perS0Dally observed this cqnduct.
I '0 bserv.ed, .d.e1qinee(s) !o a'cohclit,ionttJat led me to b~jjeye t!1C\t'this <,;ohdlJQ: tJad ,occurred.,
Oetalne~{s) tdl!1 m~ that ,this' concjuct hap d'CCorred.
10thers.- who obseryl=d thi.s. conpu,ct d'escribe9 It
to' me.
i have relevant Information' :cIa'si5ified above. "SECREr".
r n'ev,er 9b~S¢rV,e~' this.qmdutt i19r'h~rcj'-abdl),ti~ frdm ~me!lhe Whp' ~td.
------------------f
,47• .using duct rape' to, restrain, 'gag, 'OJ punis.h a.d.etairiee
a. 0 r, p~rsonqIlYQ.bserved this ton~I:!~t.
b,
0 r ;ofJs~(V~q pet8inee(s:)
·c..
q
g:.;
o ·O(h.ets wbp. 'QQseryep this GQn~u~t~:~St;ri b.¢.d it tl? m~.,
tOetail1e,e(s)
in(r~<;>)l9 i~!OH tlJi:l,t led m~ tt? b..e.l!eve thgt thi~ conpuc~ h,ad ·o~curr.eP.
tol9 m~ thqt this, 9.onp:u.c.t. ha,d ~op:~u rrE¥J.
0 f tr?l~e rele\j'ant iD(ormc(tioo ~lassified ~11 :
f. M l nev:et bpser\!ed this':¢Qndu~t il.Qr h!ea I'd:abdut it frQm sdrtl'e6ne whQ di.d..
'e',
48. Uslrig' rapid response teams ,a,fidjor: fo'r~d 'G,e II. eXtraction's',
a.
D l' per~.na"y'observed this 'conduct,
b'. 0 if obs~rved,detq'jnee.<~} In '(rco.ndli:l<~n'tha t led ~~' to' beneve thaU\1is conduct fl:1'ld oqcurred.
.C [J pe~alne~(s) told m~ t,h,<;lt this: q:md.uct had occurreg .
<t. 0 Gtners, w,ho ob~erv~cj ,tt'!!S CQn.~]1Gt d;~s~r!
e'.
o Ir ha~e relevan.t ll)forrnatk>n:
blassiflet! 'a b
.
.
:-- ~.
f.
o II n~\ier b.b~erVed' .this,cOliduc.t npr h!=2lrd ~abbq,t it from some~:>n¢ who'd Iii.
49. Usihga niilitaty.w6rkirig. p6,g o'n ,or near a.detcifn.ee, other tlian' ilur:in:g C1i;!taihee transpo.rtation
o 0 II
personally'observed this:conduc.t.
,
----...,....,..-__-----.-_1,
OIGQ-005343
b.
c.
d,
o II observed detalnee(s) In a cond Itlon that led me to believe that this Gonduct had 'occurred.
o !D~tainee(s)told me that this conduct had :occurred.
0 q~hers whl? observed this con.duct·descriQed it to m~.
0 r hay!? releVant Inf6rmatlon Cla~slfied Bbove "$ECRET",
f. 0 I n.ever·observe9 this'c:QnduGt:nQ~ he~lr.!:I·about: iLfrolTl s9meone:who did.
·e.
5:0.
Tht~atenjli~ to use ItlHitary. wOrkin9~~s...;;:·,.6:..:;:il:...:· o:;.:.r....;'n~ea:::::'::..r.::a~'d:.::e;:;ta::.:.·i:.:.ne~.e=--
a.
'Co
D
0
0
~ ..
o IO~~ers' who obser:v~d t~i,s (x~nduct"described !t t() me.
e!
'f:
0 r. hav:~, rel~varit l:nf9rQ1atlon c1a'!?Rif!efl ? 99V<? ·~S.~CREr'··
o iI n~y~r q.b,~er\(ed thfs,:cpf)c!uct l19r ht;ar9 ;al?out: It fr:om~rn~one
'a'.
0 .r perSo nally',observed, tn,s .conduct.
b,
0
b.
_
I personally observed this conduct.
r:observed detainee(s} In a'cofldition that led me to believe thatthis conduct had~occurred.
Detainee(s,) mid me thatthis conduct had occurr:ed.
I obserVed 'deti:linee'(s)' in .a~e0hditiornhat led tile to
wh9 ~Id.
beneve tnanhis co,hduCt had occur-reCI..
c. 0 Detainee(s) told me that this condud had :occurred.
lCl. o (Others who observed this cl:md uct described it to me.
e.
o iI. hav:erel~vant
t Ifl
infqrlJlation !=Iassfffeci above ".SECRET";.
1 never-observE~'d thi~ condyct n()r h~rd :abpl!t it from sorne2ne'~jlo ~id.
a.ID 1 per.sonal~y·Q.bserved this conduct.
h. 0 I'Observed detainee(s} in a .cond ition that led me to believe that this conduct had occiirred ..
c;
o -Detaihee.(s) -foTd me tnatlhis condUGt had .6ccl.lrrecl.
d,
0
~:
o
Others whe observed -this conduct d'escribed it to me.
J',.
I have relevant information
dassified
above II,SECRET
'.,.....
..
.."
,
.
. I "
f· 0'
~,
llJev~ro_b5e,liIedthis 'co nd uGt n'Qr hea~d 'clbou~
it from
SQtrreo.n~ "Yho
...
d!q)
OIGQ-005344
53. Disrespectfulstat,ements, halidliJig,:or'actipl)s fovolvi.n'g the Koran
D l' personany obsery~q ~his :cqnd'uct.
b, D rDbse(V~d. d,etqirfee(s) in 1=!-cbnditjon, that lee{ me to b~n~ve tha,t thi.~ cond!Jc;t had Q~curred.
c. 0 Oe,talne¢(s) tol~ m13 that this Cpn9!Jct hap occurred,
q; D 'Others who bbsery~d thl$ cpngu,ct des~ribed It ~Q' n:r~."
e. D I' h;:ive relev~nt information' tlas-Sified 'above "SECREr".
f. EZf r ne~er ob~rv¢~r ttif~ conduq iior h~rd, :a bOtJt: it Jr!=>m ~prneon~, Who' di:d.
a,
.5'4. Sha\i,i,ng
,;3' detainee's, facIClI.dr
other hair: to embarrass or humiliate. a detainee
~~
c;,
0 I p,er~.!1alJy'o~servecf thIS ·concluct.
0 I ;,o!?~er.v~~ :det;:;iine'e($} ilJ .:n::pnd iljo"n that led m~ tc;> q~1 !eve lli~J ~hls tQ nc;l u c~ had 'qcrc;:u rred .
0 Detajne~,(s,) tp)q lTie that t~is GQ!Jd'uct- n~,d :o,c;;c;urr:ed,
~.
IJ iOthers: wh~ QbseJ'y'~d tltis c;QOdl..l~t d¢s"Crlbea it wme:,
,a~
0 r h?l~e reletrant iDform~Jion:cJassifj~d Cil;n:i\le I~SE:t,~"',
t. M lr.h~y~r.6Dserved tliis~c6nCluc.t nor he9l'd.:abpu.t It frotri'Sdm'eQneWh~ dId.
~.
55. Placing a ,woman's clothing .ona,t!etalhee
0 1. personal!y oJ~serve,d th:is t;Qnduc;t,.
b'. 0 L ob~r:ve:cl·det,q Inee{s) 111 ~ 'cq.ndlW;>n' 'thqt led ,~e' to' bel lave th.at.;t!ll 5 co.nd uct' l1?d 'occu rred.
c. o IQe.ta.i.ne~( s) t.9Jd .m!= thSlt thiS cond l.J~t hqd o~~u rree!.
~. 0 ,Others. Whp'op$erveq JlJis GQnduct d;e~.criQe9 i.t. t(;>, Q'le.
e. 0 I ha';(e r~leyant Informatlpn: cl;3ssitJ.ed 'abpye' '~$Et~Ef".
f. 0' t never ob~erved' this co.nduc,t nbr
heard '.t;lbol)~ it from sorneort¢ who: i:l ld.
.
.
a,!
,
~6. Touchin9, ci ,det'ai
py 0 II
nee, or adfng toward a Qetainee .in'a sexual 'niaill1.er
personally observed this conduct.
OIGQ-005345
D
c. 0
d. D
e; D
b.
f.
I. observed detainee(s) In a condition that led me to believe thaUhls con'duct had 'occurred.
:Detainee(s) told me thatthis conduct had :occurred.
'Others: wh<? observed this con,duct descri~ea i,t to ,m~.
II hpv~ releyali~ infs:>rmatioI), tlassified ~bove, "SECRET" ..
0" II nl=ver'Q.b?~rv~4 this'C;QnduGt nor ht=arp abQut it ft:om'someol"]e who did.
5J. 'Hold.ln'gdetqin~($) ~h'o w~re, not, offi~ialJY :as:knowj~dged or reg ist~re<:ll;l& s_u,~h QY the a~EH'f~Y
'detaining th'a person, '
0 it pl=rsonalJy observ~d thi~:cQnduct.
b':. D {.:observed de~qll')~e(s). i,n CI :mnd it(of(. that I~ n)e to b~1 iev.e ,~hat.t6!s con,d,u~ hC!d <?G:cufred.
~: D 'b~taine~($') tqJp [tie ,tr,C;1t ,tors q:>lJq,uc~ had Q.ccurre<!..
,d" 0 i9thers who :Qb~erveQ thTs bohd (fGt,de~c,dbe,~ it to mta';
e: D11 ha~~ reieyant infqrmatjoiT l;la?slfi!=d ~bove: "$"ECRET",
t. 0' II h·~'l.er 9,b~erved thIS .cblid~ct nor 'heard '~,b'ou,t' it 'fmm, somet>ne whq. did.
a..
,
J
,.
a.
._" -
. ., '.
, '
.
...... ,,-
D iT personally,:observed this condu,d.
'D I:observed, detaln~~(s) in a qmd itio~ that led m.~ tQ beUev;e ,rb,?t ~h.'s conduc~ had oq:urred.
c, 0 !()~taine~(s) told me thClt 'this: ~olJduci: hpd :occurr~.
cj. D \ot~er~' who otr~erv~d 'this cgnd uct c;l,e~iSri.beq it to, m~.,
~'
..
I
b.
D II have rele\!ant In~ormatl(m c1assifi~d ejl;rOl)e "SECRET'''.
fi 0' ~r ne,v.er Qbs~rVe!i this 'tQn~,u.c;t nor' h5;ird 'abClut ft frprn, ,sQ.meon~,wbo qip ,
e.
ressive interr:6ljatidn
a;
It;
c;;.:!
d:
'e.
0.11. personally observed this 'conduct.
D tl9bserveq'detainee(s) in :-9.'~9n9.ition'
tJ:l,at" ieg me t9
believ~th<3nhi~ con'dy~ h.Cld oG~.urred:
0 DetC!lnee(.~) t91~ m~ that this c;ond.uc~ had :occurred.
0 !~hhers whl) obseni~this conduct des,crJbed it: to me. - D IT haVe relevant informatjan'c1assified above "SECREf'!.
,
",
.~
,
,
'. • .
, ' >
'"
, ,""".
,
'
,
I
~
'
'""_,,
--,,~
""
-.--
OIGQ-005346
f,
0
L never observed this conduct nor heard about It from someone who did.
g. P~se PfQvid.~ th~ ;:lppr.o)<imate trme fr1lme:durlng Vihich i.hls conduct:oa:urred,
FrQm '(M/b.'J'{YyY f<;lrrna~ 9r M/ftY'i) to (MLOfiyy,.i fQr!f1at Qf M/YYYY)
000 Not Recall
h. The.det~.Inee,s) treated In this way were: lQcated at
1, 0 GUanta~mo'
.
t\le time 'In.:
2 dIraq
~
0' Ngnanis~n
4: 0 ·Other Loca"tio"n
5 0 Do Not Rec;:all
'1. Please-ldei1.tliyth¢.p~tali1~(:~). by .ntim~ ana, ('iumb"~;
.While:r :Was in. Bagraril(·r took a1:allr of the P'ri50n .and I-sat in o'h an .ihterview of a 'detaihee
oonducted by the OIA The:detalnee was shown a picture of a man that the Russians just killed Ih
Chethhia; The OIA.agent then' asked the detainee If we (the OS) should·send him.t(:lltu~ia. The:
: ciet~iliee scild oj:) aTtd the utA ag~rit '.s~id 'that' th~ US -WOl,J ld _n'ot '''Vc,lo1:' send him t,O Ru.ssia.'
j. Please Identify the perSon(s) Who ,treated the detainee(s) In ,this' manne'r, including therr
~m~(s).anq'govemlJlent agen~(l~l;
0IA.9g~1l~ at' ~~~rTJ In MClY Qf.-2o.02
k. plea~' !l:tel)t1fy.anY: 9tn-~r FBt persqnl1~1 Qr Il9I)-FB,~ 'pers9nn~ w~9' Q_b~fyed d!,!taf.,,!ee($1. tr~~ed
In ,thIS· maOo'er, In-eruding their h;;il'tlefs) anc{-'agencv.(ies):
ThiS CQntluct ot:C:llrr.ea fn' ~Ql1n~etjo:n wil;li:
1'~ pne' de!all)~
2 ,0 Sl*:eral de~'ir'i$ (~-4j
30 Marly' detain~ (tfibr.e than 4)
'4'b Do Not Recall
I.
60, Threatening
to take action against a detainee's family
~
~~
•• o II p:ersonalJy. ob.~·rve~
b.
c.
o
~
this .cqndu:tt.
II,oi5seiv.e-d detaln·ee.(s) In a'co,ncfition that
kd
nie to believe that'this ton"d:u,!_had ?ccurretl,
o 'Detainee(s) tdld m¢ that fhi~to'nduttha.d .'oc.curr~.
d. 0 Others Who .obset\led tlils tphdtl.Ct described It to me.
e. 0 I haIJe relevant i[lformatio.n dassified abov.e "SECRET".
f.
0' ,[ never observed' thisronduct nor heard "about-it from someohe who-djd,
OIGQ-005347
'61. Qther treatment of adion causing ,sev.er.e emotion'al or psycbological trauma to adetailiee
a',
0
b.
o II 'observed c1.et~inee(s) in a'cond it,ion t~a.t lee! ,me to belieye that this ~on:duct nad ot<;:urred.
I perspnafly observed this :cqnduct.
c. 0 D~talnee(s) tolp me that this conduct ha~:L()ccurre9.
'd, 0 Others who observ.~d 'tOls cpnd1lct de'sqll:ie:d It tame.,
e. 0 I ha'1.e relevant IJ1f0rmatioh' :cIas~ified ,abov.e, "SECRETi ••
f:
0 r ne\ier bb$rv.e~rthis,c6ndu~J i1prh~rQabc;JtJ,ti~ frdm .sOn)~9n~ whp I;Hd.
',6'2. 'OtheY religiousiir:sexoal har:assment or' hLiljiiliati6fJ,ofB ,detainee.
a, 0
t p,e~sp.IJCjIJY Q,bserved t~IS 'condu~t
b. 0 r.9bs~rve.~ .det.a'in~e.c~) in a ocpnd itjo n that led JT1e ~o' ~el ie~e lh~t t[1I5 com;! uct haq 'qGl;U rred.
C;,.
o JDetaJnee,(s) t!;ilq 'rne tha~ 'this: G,ondu<;:,t h~9 ro.<;:curre,Q,
g. 0
Other's woP observed this t;Qn~ u<;t ,d¢scrlhe.d
ittl;)'m~.
'e.
0 l' hi;i"!e reT~v~nt
t:
01L'iiev,¢r'opser'ied this:-,co,ntluc.t nQr h!=afd'abo.ut itfrQrri SQtireQne,WhQ dJd,.
63. Other treatment
in(orlTl~tion c1as5Ifi~ q~oye "S,ECRET".
of a d~tain,ee .that in \iour'opir1ion 'was·Unik6fessiorral"uhduly. ha(sli 'Qragg resslve,
.c6ef'chie, abUSive, or 'uhlawful
'
-
o iI, per.ponC!lly' 9P'?erv<e~ ~his :cqn9uG,t.
b; o ii' observed' detaine~(s). 10 a,"cond jUon that Led, me to b,elieve .that thi,s condud had ocs;;urredi,
fC; o joe,tai n~e.(i). mid inj= thanhJs' cQlid !Jet ha.'~ oCCJj rred:
~. o lOth~t'$' Wh'<;> ol:rserv~d ,th'S. CCillduc;.t dEi~cr.lbeg it
e. o II: have teievant information' das'sified above "SECRET
{ o II. neYerol)~ervE:d this~c.9naU(:t nor hear,d ,atrolJt it from sofn~0nE: who did,
~'.
~() m~:
i
'.
" ....
_m:~.~@1~~·'
'~'
·64. Did you observe any imp'ersonation of FBI personn,el by anybtleduring an intervielN:or ihterrogation of
OIGQ-005348
a
de~inee?
by~
~NO
65., Die:! any detqiryee or:other person. t,ell'YQu thClt.he or sh~ hCld w,itnessed t~e ,impersonatjo.p 'Of FBi
personnel in l;gnneqie?,n with 'a d~t~'inee' interview or interrogation?
'
OY,~?
~'N,o
,'66. 'Are,yo.u aWare of'any ':sham" or'"sta,ged" detainee InterViews,or Int~rrOgat[olJs to'nduc.ted for Members
'of the U.S. Congress'or their staff?
o Yes-
<;) No
,67,. T0 your knowledge/,did any military or intelligence personnel ever deny or delay FBI'access to a
,de!;aHle,e the F8.I ~a(ited ,to qu~ti0n because'·~,~e.petail:1ee had 5t!~aln!7d 11)jUrl.es ~fter he was ~aptu~ed7
DYes.
0No
.Q. Yes:
.~ rio
Q. y~,?-
'(~}
·~?'.:Wfi;re Y,9Q Ej!y.e r'·tQ.l.9: .that·~"o~er fBl.erru"loy'~ee!!c;led· pis <;>r her,pa,rtiGip<;ltion in or'c;>b"!?eryati9n off
4~K1tn~~ ifl.te:rt!i~w p-r In.rerIogi'!1;IQn !?e~ll~~ -pfthe',inte('\/ieyv qr iilterrp.9.qtiPJl (TlEjtho.d.$ being u~?
a.
I\lo
7.0. Durin:g 'any, ofyour'overseas deployments or assig.nments,( did you report ·any"concerns,.regardlng
'c:t'nY'c1etail')~ interv(ew"Or intefrogqtiQ[rpl13c;.t;i~esi Q~ Qth~r·typ~§ ,o.f.ge~aiQ~ .tr~atmentf to ~n .f,BI'
·~l,Ip.~tvi.so:r?'
.Q Ye,!?;' 0 No
7,1. Du'r:lri~ ..a'ny .Of'your'-?~erse?s deplo.y~erits of.a'Ss[griment~f: did you rep~rt a~y'.t.oncerns re9'ard'ing
any' .Q e~qin,~, i[)tery lew:~r }ot~rr9g,9\jql'},practtce~ 'Of o~ber tYRes 'of de~~m~ 'tr.~atrnel')t you
·~bser\(~d qr" h~r9 ~.b~utf Jo'a nql1-FBI' ~4pelVjsQ.r or ptl:ier ri_6h·F~I·'p¢fs9nnel?
<D y.~~, :$ f':l9'
'72. Hav.e:you .ever ,Been order,ed or·direct.ed froUo repoIT/,D.r :disl;:o.iJra$f~ 'iIT any.'Way fr.Qni r'ep.ottil")9r
.observations or allegations: related to. detainee treatment or interview or interrogation aetions or
pra ct l.c;es 1.
.
'
.0 Yes, :0 No.
73. HaVeyou :experj~nced any -aaual or thre,atei1.~d . .re~~liat~~n· for r,e,j)or:ting observ.ations Qrailegati6ns
,of detaioee treatment or interview 'or fnterr.og,atibn actions Of practices:?"
.
O'y~g '0 No
.
74. (Q p..tlq:n~n' P!~a:se_ prov!p ~ "Pny a'~,d It{q:h.!:iI !+lmm'e,nrs-re9~r{:il rm ·tli~ J~p:qxtlng '9J q:sl'1c~tn~. r.ei~t¢9' ,to
interv.ieW .or iiit.errogatio'n techniques, d.etenti6n 'practic'es( .or,oUjer detainee Ueatment:The
detainees·.at Bagram where all ,taken off .the battle 'field by. US 'SbCOM troops. These.are.the best
OIGQ-005349
troops in the ~rld ,and 90% 9f the detainees when~ wouflded when prtor to t~ere c;:apture. 1 did
not ever h~r of!3 de!a!n~ wh,9 "Gaye' Up".
~
\VJll8
. ---
.--. -
-- -
-
.
~.~~~
75, WeJe"you :debriefed, other' than tne:stantiard debrlefln fD-7.t2, c.oricerning. 'lour over%eas
'J,'
I
'assfgnment(s) oi".deffloyment(s;). aJter-y6u coilipletei::l the depJiYyment(s] or ass[9nment(s)?
b·yes
0
No
7fL Add"itbnal Comments and Recommemfatlbns:
Tf:iankyou f'6ryour <::o"operatiorT iFT completing this::ql.iestior'inaire
OIGQ-005350

