Skip navigation
April 20, 2026
Login
or
Sign up
Login or Sign up
Search
Toggle navigation
Prison Legal News
Home
About
FAQ
Interviews
Annual Reports
Contact Us
Address Change
In the News
Litigation
Links
Links
COVID-19 Updates
Subscribe
Magazine
Website subscriptions
PLN email newsletter
Book Store
Advertise
Donate!
Search Content
Search
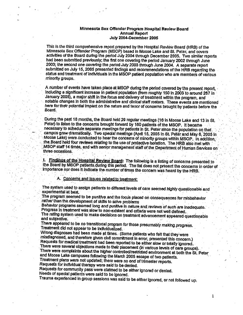
Mn Civil Commitment Sex Offender Facility State Report 2004-2005
• Topics:
Discrimination
,
Sex Offenders (Discrimination)
Share:
Share on Twitter
Share on Facebook
Share on G+
Share with email
Download original document: